Menu
Welcome to

Grinding power : step by step calculation

How to estimate the power required for a grinding mill ?

Follow us on Twitter 
Question, remark ? Contact us at admin@powderprocess.net


Section summary
1. Work-index
2. Calculation of the work-index
3. Estimation of the power consumption of a grinding mill
4. Example : Step by step estimation of the power required for a grinding mill
5. Free Excel calculation tool for estimating grinding mill power consumption

Comminution (particle size reduction) is one of the industrial activities that is requiring the highest amount of energy worldwide, particularly through mining activities. Estimating the power required by a grinding mill is then particularly interesting for industrial looking to invest in a new grinding process in order to define the CAPEX and OPEX costs.

The calculations below mainly apply to ore mills.

1. Work-index

What is the work-index of a mill ?

The work-index is a parameter used in ore milling processes. It is defined as the energy needed to reduce ore from infinite size to the state where 80% of the milled ore will pass through a 100 mesh screen.

What is a mesh, how does it convert to micron ?

It is very common in milling application to refer to the size as per the "mesh" measurement. The correspondance mesh to microns is given below :

US Mesh* Microns Inches Millimeters
35 500 0.0197 0.5
40 400 0.0165 0.4
45 354 0.0138 0.354
50 297 0.0117 0.297
60 250 0.0098 0.25
70 210 0.0083 0.21
80 177 0.007 0.177
100 149 0.0059 0.149
120 125 0.0049 0.125
140 105 0.0041 0.105
170 88 0.0035 0.088
200 74 0.0029 0.074
230 63 0.0025 0.063
270 53 0.0021 0.053
325 44 0.0017 0.044
400 37 0.0015 0.037
450 32 0.0013 0.032
500 25 0.0010 0.025
635 20 0.0008 0.020

2. Calculation of the work-index

2.1 STEP 1 : Gather the data

In order to calculate the work index for a particular material in a mill, it is necessary to carry out a grindability test :

  • Get a sample of the material to grind
  • Select the mesh P1 at which the material is to be grinded during the test : for example 200 mesh (= 75 microns)
  • Measure the 80% passing size F (microns) for the feed
  • Run the test and measure the Bond grindability G in g/rev of the mill
  • Measure the 80% passing size P (microns) for the product

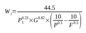
2.2 STEP 2 : Calculate the work index

Wet milling [Chopey]

Wi = 44.5/[P10.23*G0.82*(10/P0.5-10/F0.5)]

Grinding - Work Index calculation formula (wet)

Dry milling [Chopey]

Wi = 44.5/[P10.23*G0.82*(10/P0.5-10/F0.5)] *4/3

Grinding - Work Index calculation formula (dry)

With :

Wi = work index (kWh/t)
P1 = size of the mesh of grind of the grindability test (microns)
F = 80% passing size of the feed to the grindability test (microns)
P = 80% passing size of the result of the grindability test (microns)

3. Estimation of the power consumption of a grinding mill

3.1 STEP 3 : Estimate the power consumption of a grinding mill for a particular application

The Bond 3rd theory of comminution is estimating the power required to mill a particular ore thanks to the following formula [Chopey] :

W = 10*Wi*(P-0.5-F-0.5)

With :

W = Power consumption of the mill (kWh/t)
Wi = work index (kWh/t)
F = 80% passing size of the feed to the mill (microns)
P = Required 80% passing size of the milled product (microns)

F and P are different than on those of the grindability test

4. Example : Step by step estimation of the power required for a grinding mill

A mining company is investing in a new line of production of an ore. The material must be sold as fine powder, with 80% of the material passing through a 80 microns mesh. The feed material is however much bigger since 80% of the feed 8passes through a 2000 microns mesh.

What is the estimated power required to run the mill ? The milling is done Dry.

4.1 STEP 1 : Gather data

In order to gather the necessary data to size the mill, the company is running 1st a grindability test. The results are the following :

  • The material is grinded at a mesh P1 of 200 mesh (= 75 microns)
  • Measure the 80% passing size F (microns) for the feed = 2000 microns
  • Run the test and measure the Bond grindability G in g/rev of the mill = 2.5 g/rev
  • Measure the 80% passing size P (microns) for the product = 42 microns

4.2 STEP 2 : Calculate the Work-Index

The work index is calculated thanks to the following formula :

Wi = 44.5/[P10.23*G0.82*(10/P0.5-10/F0.5)] *4/3= 44.5/[750.23*2.50.82*(10/420.5-10/20000.5)]*4/3 = 7.86 kWh/t

4.3 STEP 3 : Estimate the power required for the particular application

W = 10*Wi*(P-0.5-F-0.5) = 10*7.86*(80-0.5-2000-0.5) = 7.03 kWh/t

5. Free Excel calculation tool for estimating grinding mill power consumption

The required power consumption of a grinding mill based on the calculations shown above can be estimated thanks to this free Excel calculator : Calculation Tool - Grinding Mill Power Calculation

Warning : this calculator is provided to illustrate the concepts mentioned in this webpage, it is not intended for detail design. Please consult a reputable designer for all detail design you may need.

Source
[Chopey] Handbook of Chemical Engineering Calculations, 13.5, Chopey, 2004, MacGraw Hill

Copyright www.PowderProcess.net

The content of PowderProcess.net is copyrighted but no warranty nor liability is ensured. The content of this site is to be seen as a help and important information and calculation must always be double checked by the user through the quality procedure of his organization or by checking another source. The user must always respect all applicable regulation. The use of the information is at the user and its organization own risk and own cost.

About privacy and cookies on this site

Our site uses cookies and other technologies from 3rd party companies. Access our Privacy Policy in the "About" page to know more about those cookies and technologies . Further use of this site will be considered consent.

 www.powderprocess.net is secured by SSL encryption

Follow us on Twitter