Menu

NEWS : Process Engineer's Tools is moving to a new address, www.MyEngineeringTools.com, click here to discover the site

Plate Heat Exchangers design : calculation method

Follow us on Twitter 
Question, remark ? Contact us at powder.process@protonmail.com


Section summary
1. Plate heat exchangers definition
2. Calculation procedure

1. Plate heat exchangers definition

What is a plate heat exchanger ?

Plate and frame heat exchangers have a very specific design compared to other each exchangers : the fluid is split into wide but narrow channels in between thin plates. This allows to have a very high heat exchange coefficient and as a consequence a rather compact heat exchanger compared to other designs which can make them an interesting proposal when space or costs are a constraint. However such a design leads as a consequence to high pressure drop which will limit the application when high flow rates are involved.

This kind of heat exchangers have especially been popularized by the company Alfa Laval, people sometimes referring them as "Alfa Laval Plate Heat Exchanger". The most common design is to have the plates pressed against each other with gaskets in between. Such a design allows to open and clean very easily the exchanger which will be appreciable in situations where high fouling is expected or if regular cleaning is required for hygiene reasons (food industry). Using gaskets will limit the operating pressure and temperature so other designs with welded plates exist (brazed plate heat exchangers). They can operate in more extreme conditions but cannot be open for inspection and cleaning.

2. Calculation procedure : plate heat exchanger sizing

How to design a plate heat exchanger ?

2.1 STEP 1 : get the design data

The following data must be defined in order to size a plate and frame heat exchanger :

  • Fluid properties (viscosity, specific heat... if possible as a function of temperature)
  • Inlet and outlet temperature of each fluids (note : the procedure here is to size a heat exchanger knowing those data, but it can be adapted after, using Excel, to calculate the outlet temperature knowing the characteristics of the heat exchanger for example)
  • Inlet pressure of fluids
  • Allowable pressure drop

2.2 STEP 2 : calculate the required heat flux

The heat flux can be calculated knowing the flowrate, the in and out temperatures and the specific heat of the fluid, either on hot or cold side.

Heat flux calculation in a plate heat exchanger

With

mc = mass flowrate on cold side (kg/s)
Cpc = specific heat of cold fluid
Tco = outlet temperature of cold side (K)
Tci = inlet temperature of cold fluid (K)
mh = mass flowrate on hot side (kg/s)
Cph = specific heat of hot fluid (J/kg/K)
Tho = outlet temperature of hot side (K)
Thi = inlet temperature of hot fluid (K)

It is then possible to approximate the size of the heat exchanger by estimating the overall heat transfer coefficient H.

H for plate heat exchanger is often in between 2 to 7 kW.m2.K-1.

Flux in plate heat exchanger with DTML

H = overall heat exchange coefficient (kW.m2.K-1)
S = area of the heat exchanger (m2)
ΔTml (K)

The value of S can thus be calculated, as a 1st approximation of the heat exchanger size.

2.3 STEP 3 : calculating the number of plates required

This stage requires to have some references from suppliers, especially the size of plate they can supply, the max size of the heat exchanger when using a given plate, the design of the plate as well as the max flow the heat exchanger can handle.

From there, the Engineer can chose a plate size, design, and calculate the number of plates required.

N = S/s

With

N = number of plates required
S = total heat exchange area (m2)
s = size of a single plate (m2)

It is also possible to calculate the number of channels : n = (N-1)/2

2.4 STEP 4 : confirmation of the heat exchanger size

Now that a rough design of the plate and frame heat exchanger has been done, it is required to go in details of the many options available for the plates and use correlations that will allow to recalculate the heat transfer coefficient and then a required exchange area. The calculation will then be iterative until the calculated heat exchange area is equal to the assumed area.

A correlation giving the Nusselt number can be used :

Nusselt correlation for a plate heat exchanger

With

Nu = number of Nusselt (-) = h.Dh
Re = Reynolds number (-) = ρ.u.Dh
a = coefficient depending on the corrugation of the plates (-)
b = coefficient depending on the corrugation of the plates (-)
Pr = Prandtl number = μ.Cp/λ
Prw = Prandtl number at the plate (wall) conditions

And

h = heat transfer coefficient (W.m-2.K-1)
μ = viscosity of the fluid (Pa.s)
ρ = density of the fluid (kg/m3)
u = velocity of the fluid in between 2 plates (m/s)
Cp = specific heat of the fluid (J/kg/K)
λ = thermal conductivity (W/m/K)
Dh = hydraulic diameter = [4*l*dplate] / [2*(l+dplate)] (m)
l = width of the plates (m)
dplate = gap in between 2 plates (m)

a and b depends on α the angle of the corrugations on the plates. The following table is from [Aydin] which is taking its source from [Kakac]

Corrugation angle in ° Re a b
<30 <10 0.718 0.349
<30 >10 0.348 0.663
45 <10 0.718 0.349
45 10-100 0.400 0.598
45 >100 0.300 0.663
50 <20 0.630 0.333
50 20-300 0.291 0.591
50 >300 0.130 0.732
60 <20 0.562 0.326
60 20-400 0.306 0.529
60 >400 0.108 0.703
>65 <20 0.562 0.326
>65 20-500 0.331 0.503
>65 >500 0.087 0.718

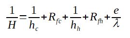
It is then possible to calculate the heat transfer coefficient h on both hot and cold side and then calculate the overall heat transfer coefficient H.

Calculation of the overall heat transfer coefficient

H = overall heat transfer coefficient (W.m-2.K-1)
hc = heat transfer coefficient on cold side (W.m-2.K-1)
Rfc = fouling resistance on cold side (K.W-1.m-2)
hc = heat transfer coefficient on cold side (W.m-2.K-1)
Rfc = fouling resistance on cold side (K.W-1.m-2)
e = thickness of the plates (m)
λ = thermal conductivity of the plate (W.m-1.K-1)

It is then required to compare H calculated with H assumed.

If Hcalculated = Hassumed, the calculation is valid, the size of the heat exchanger, with the total heat exchange area S is correct.

If Hcalculated ≠ Hassumed, then the calculation needs to be run again, this time using Hassumed as starting point, or, if values are really far, changing the design of the heat exchanger (plate size...) and running it again.

2.5 STEP 5 : Calculation of the pressure drop

The design defined in step 4 is only valid if the pressure drop on both sides is less than the allowable pressure drop. If yes, the design can be kept, if not, some design choices such as the size of the plate, corrugation, number of plates... Checking the pressure drop is especially important for gasketed plate heat exchanger which have a limited resistance to pressure compared to brazed plate heat exchangers.

2.6 STEP 6 : optimization and detail design

Even if the design done satisfies the process conditions, it may be possible to improve the design by making it less costly, more compact... the design procedure can then be re-run for the basic design calculated by changing the type of plate, size, number of plates...etc...

The procedure above will be helpful to get an idea but cannot be used to such details. It should be done with a specialized company. Detail design and construction drawing must always be done with the support of such a company.

Source

[Aydin] Report to department of chemical engineering, Middle East Technical University, Plate Heat Exchanger design, Aydin et al., 2016, https://www.slideshare.net/ervaldi/plate-type-heat-exchanger-design-62443113

[Kakac] Heat Exchangers, Selection, Rating and Thermal Design, Kakac et al, CRC Press