Menu

NEWS : Process Engineer's Tools is moving to a new address, www.MyEngineeringTools.com, click here to discover the site

Pressure Safety Valve Basic Design guide - Gas flow, P>101325 Pa

Pressure Relief Valve sizing



1. Introduction and warning
2. Critical flow or subcritical flow ?
3. Critical flow safety valve sizing
4. Subcritical flow safety valve sizing
5. Other calculation codes
6. Selection of standard pressure relief valve orifice
7. Excel calculation tool

1. Introduction and warning

This design guide aims the reader at understanding the basic concepts behind the design and sizing of pressure relief valves but not at designing a valve for operational purposes. It is based on published sources but should not be considered for the detail design and selection / ordering of a pressure safety valve. Indeed, pressure safety valves are of utmost importance for the safety of the process, as they are most often the last resort to avoid an explosion, their design must therefore be done only by reputable companies. Only after having clearly defined the application, the position of the valve...etc... with the valve supplier, can he advise properly the plant operator and finalize the design of the valve.

The calculation below are derived from API520 and adapted from various sources. Those calculations are valid for a maximum allowable working pressure higher than 101325 Pa. Other types of services will require a different calculation code. API for example has other standards for low pressure valves. ASME or ISO have their own guidelines.

Note that this page is not discussing the choice and calculation of the design scenario, which is the process events leading to the maximum flow released through the valve. The required flow must be defined thanks to a risk analysis and process calculations.

2. Critical flow or subcritical flow

It is 1st necessary to determine how will be the flow in case of opening of the pressure relief valve. If the difference in between the pressure within the tank and pressure at the outlet of the valve is too important, the flow will be critical.

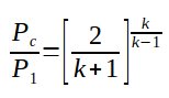
The critical pressure above which the flow becomes critical is calculated thanks to :

Flow_Critical_Pressure_Calculation_Formula

Equation 1 : critical pressure calculation

With :

Pc = critical pressure in kPa abs
P1 = upstream relieving pressure in kPa abs
P2 = downstream pressure in kPa abs
k = Cp/Cv

The following comparison must then be done to know if the flow will be sub-critical or critical and use the right formulae :

Critical flow
P2 ≤ Pc Critical flow
P2 > Pc Sub-critical flow

3. Critical flow Safety Valve sizing

If the flow has been found to be critical, the following formula can be used :

Safety_Valve_Sizing_Critical_Flow

Equation 2 : pressure safety valve required discharge area in critical flow conditions
With :
A = required effective discharge area of the safety valve in mm2
W = required flow through the valve in kg/h
Kd = coefficient of discharge
        Kd = 0.975 for a pressure relief valve, with or without a rupture disc upstream
        Kd = 0.62 for a rupture disc
Kb = capacity correction factor due to back pressure
        Kb = 1 for conventional and pilot operated valves
        Kb to be estimated from tables and charts for balance bellow valves
Kc = correction factor if a rupture disc is installed prior to the valve
        Kc = 1 when no rupture disc is installed prior to the valve
        Kc = 0.9 if a rupture disc is used in combination with the valve
T = temperature of the gas or vapor upstream the valve at the moment it is released in K
Z = compressibility factor of the gas at valve inlet conditions
M = molecular weight of the gas in kg/kmol

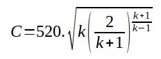
The coefficient C can be calculated thanks to the following formula :

Coefficient C calculation

Equation 3 : coefficient C calculation

The compressibility factor can be calculated from the reduced pressure of the gas or vapor being released thanks to the following diagram

4. Sub-critical flow safety valve sizing


If the flow has been found to be sub-critical, the following formula can be used :

Safety_Valve_Sizing_SubCritical_Flow

Equation 4 : pressure safety valve required discharge area in subcritical flow conditions

The coefficient F2 can be calculated from the following formula :
F2_Coefficient_Calculation

Equation 5 : factor F2 calculation

5. Special case of steam

When designing a safety valve for steam operation, another formula is recommended :

Safety valve sizing formula for steam
Equation 6 : pressure safety valve required discharge area in the case of steam

The correction factor KN can be calculated the following way :
KN = 1 if P1 ≤ 10339 kPa abs
KN = (0.02764*P1-1000) / (0.03324*P1-1061) if 10339 ≤ P1 ≤ 22057 kPa abs

Ksh = superheat steam correction factor
        Ksh = 1 for saturated steam
        At other steam state, it can be calculated thanks to a table

5. Other calculation codes

Note that ISO 4126 also offers correlations for safety valves sizing

6. Selection of Standard Relief Valves Orifice

The sizes of discharge areas is actually standardized and manufacturers will propose sizes accordingly. The Engineer, after having calculated the required size with the calculation sequence above, needs to select a standard size offering a discharge area higher than the calculated value.

Standard letter / designation Orifice area in in2 Orifice area in cm2
D 0.110 0.71
E 0.196 1.26
F 0.307 1.98
G 0.503 3.24
H 0.785 5.06
J 1.28 8.30
K 1.84 11.85
L 2.85 18.40
M 3.600 23.23
N 4.340 28
P 6.38 41.16
Q 11.050 71.29
R 16 103.22
T 26 167.74

7. Excel calculation tool

Note : the tool is for now only supporting gas flow in pressure, new release for liquid service and vacuum service will be edited later.

Link to Excel calculation tool
WARNING
www.powderprocess.net cannot be held responsible for the use of the explanations, calculation and calculation tools presented here, the use of the information is at the user and its organization own risk and cost.

Source
Various sources based on API 520


Copyright www.PowderProcess.net

The content of PowderProcess.net is copyrighted but no warranty nor liability is ensured. The content of this site is to be seen as a help and important information and calculation must always be double checked by the user through the quality procedure of his organization or by checking another source. The user must always respect all applicable regulation. The use of the information is at the user and its organization own risk and own cost.

www.powderprocess.net is secured by SSL encryption

Follow us on Twitter